热作公司

2026世界杯官方合作网站2026届毕业生求职补贴符合申报人员公示名单

2025年08月06日 11:09  点击:[]

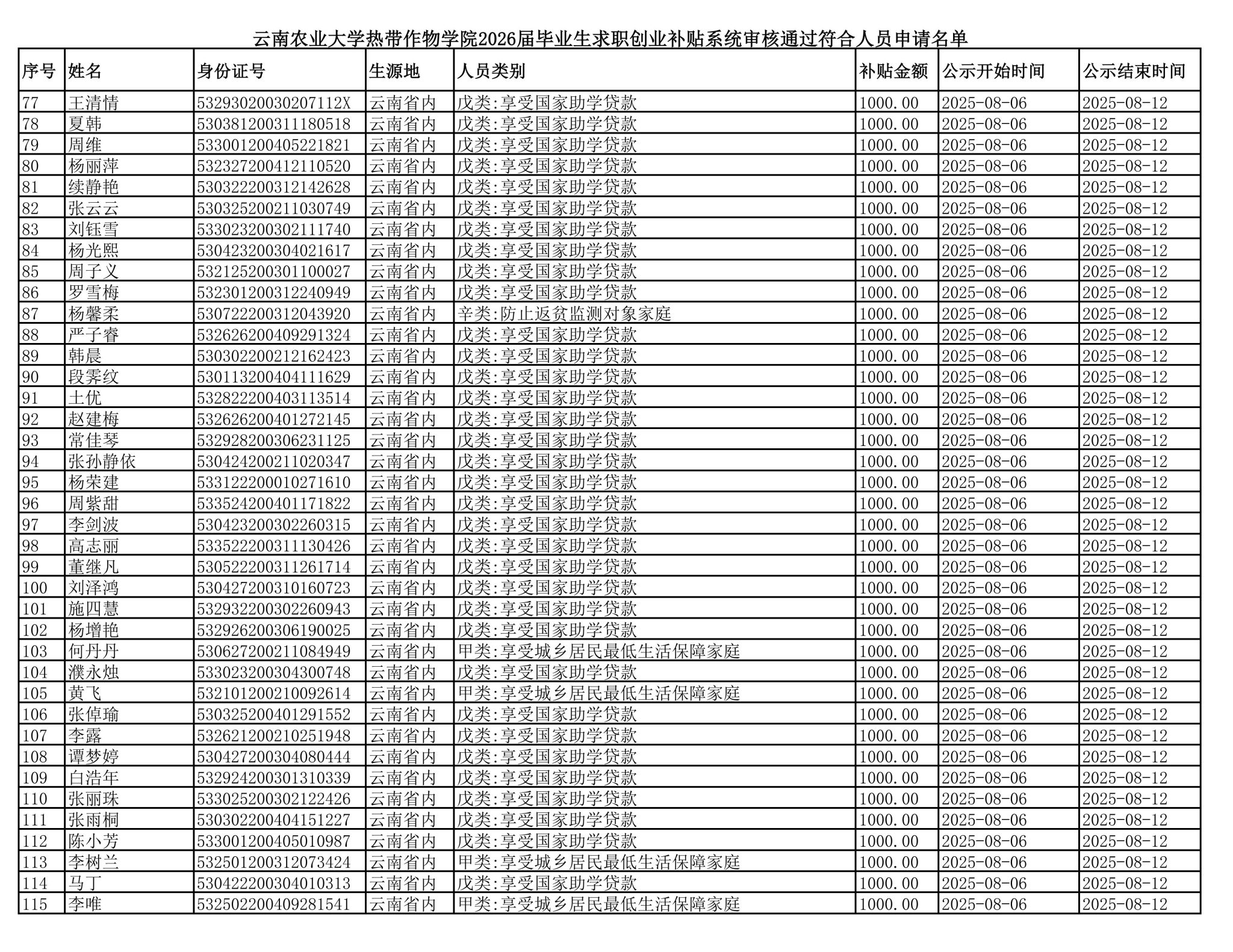
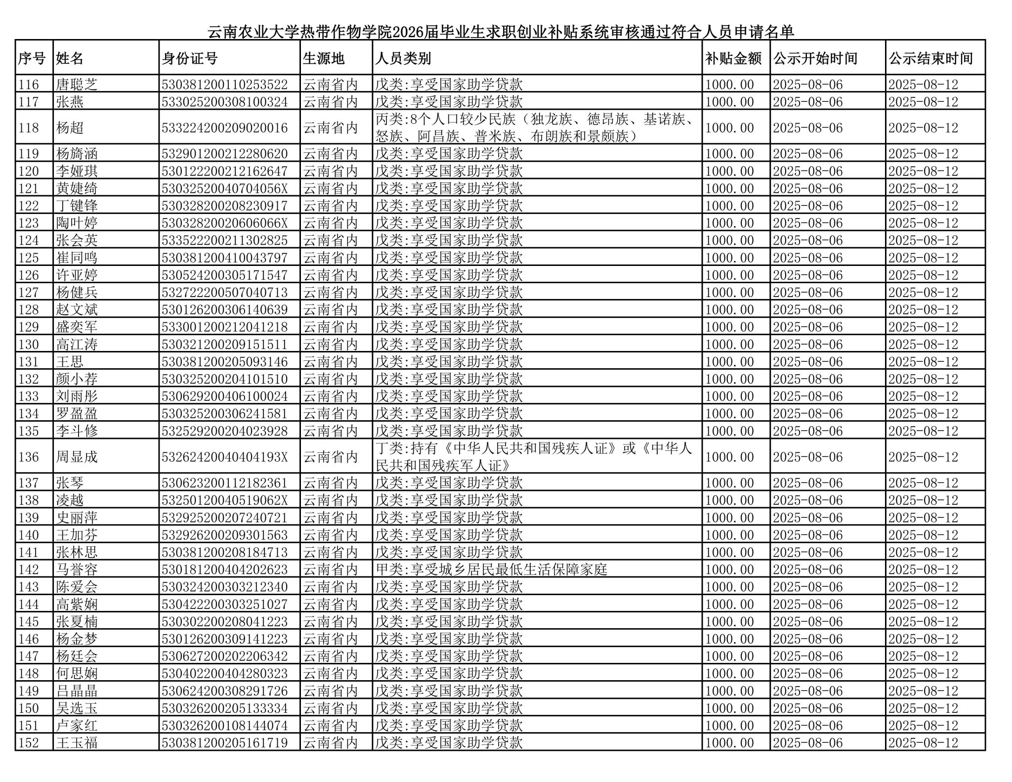
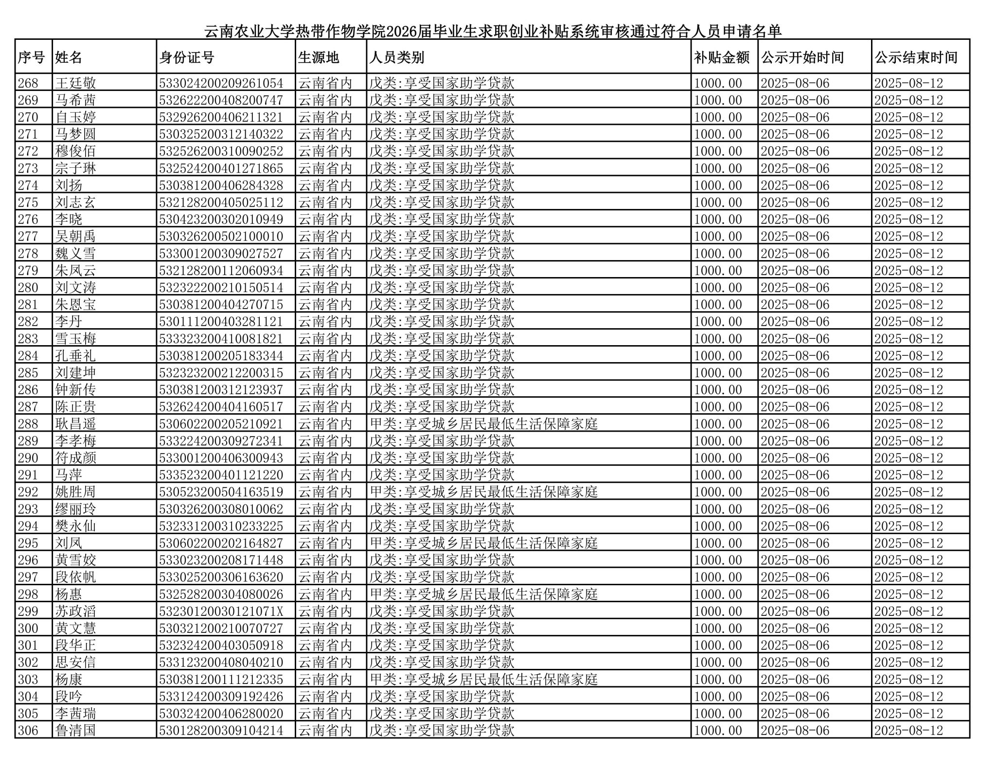
根据《云南省人力资源和社会保障厅云南省教育厅云南省财政厅云南省公安厅云南省民政厅云南省农业农村厅云南省残疾人联合会关于做好高校毕业生一次性求职补贴发放工作的通知》(云人社通〔2024]17号)文件要求,公司认真贯彻落实高校毕业生求职创业补贴申请专项工作,现将2026届毕业生求职补贴符合人员申报公示名单公示如下(见附件),公示期自即日起五个工作日,公式无误后报普洱市公共就业和人才服务中心审核批准。凡对以上结果存在异议,请以实名制书面形式向员工科反应,联系电话0879-3028687。

特此公式。

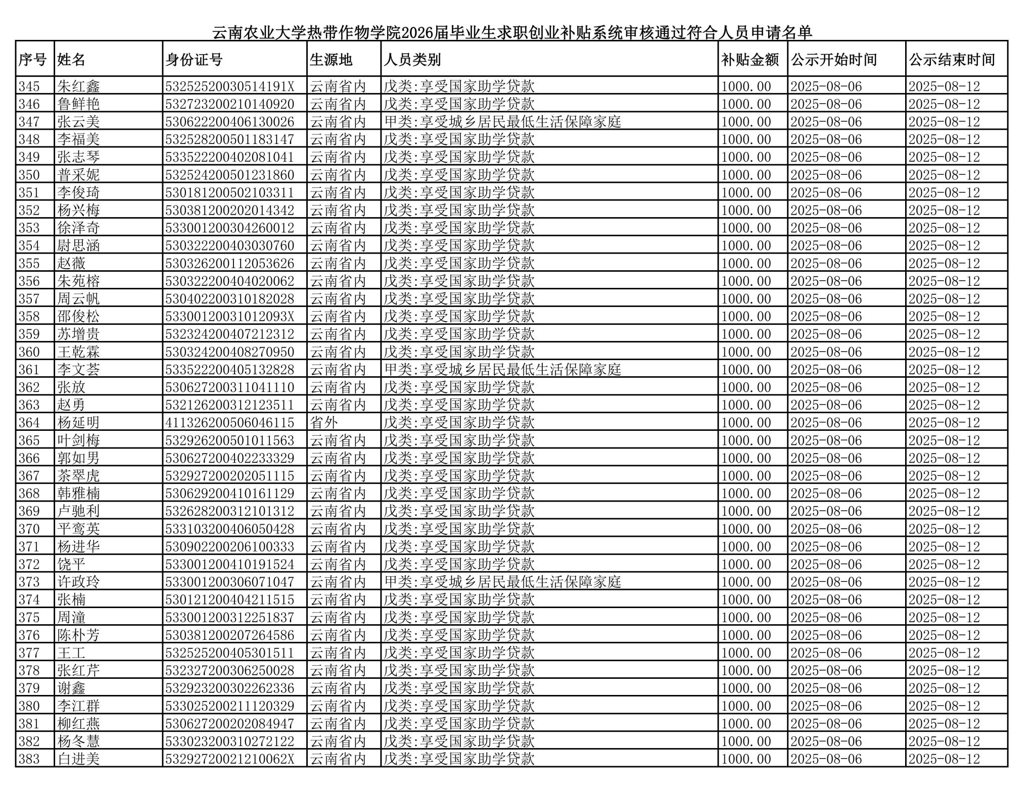
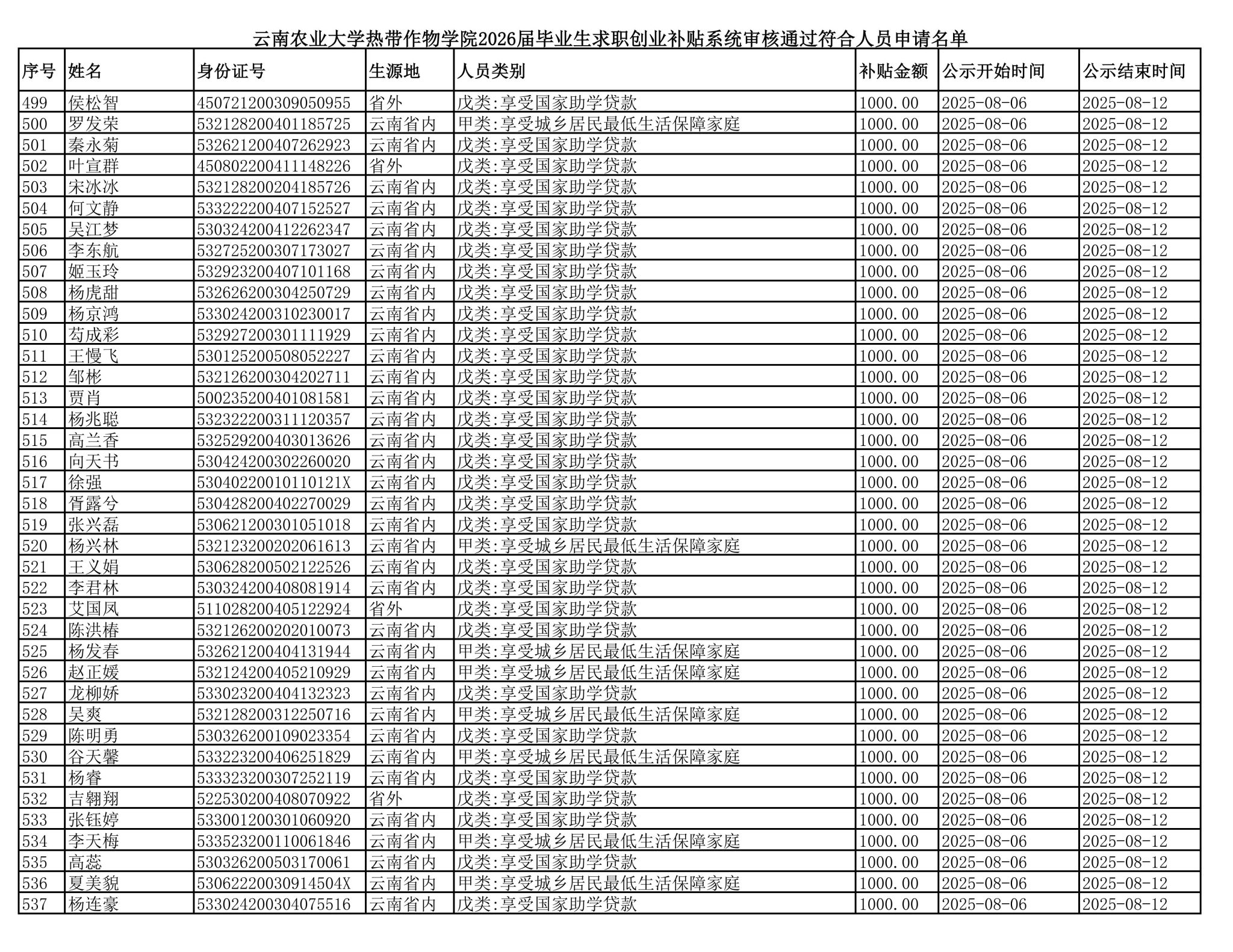
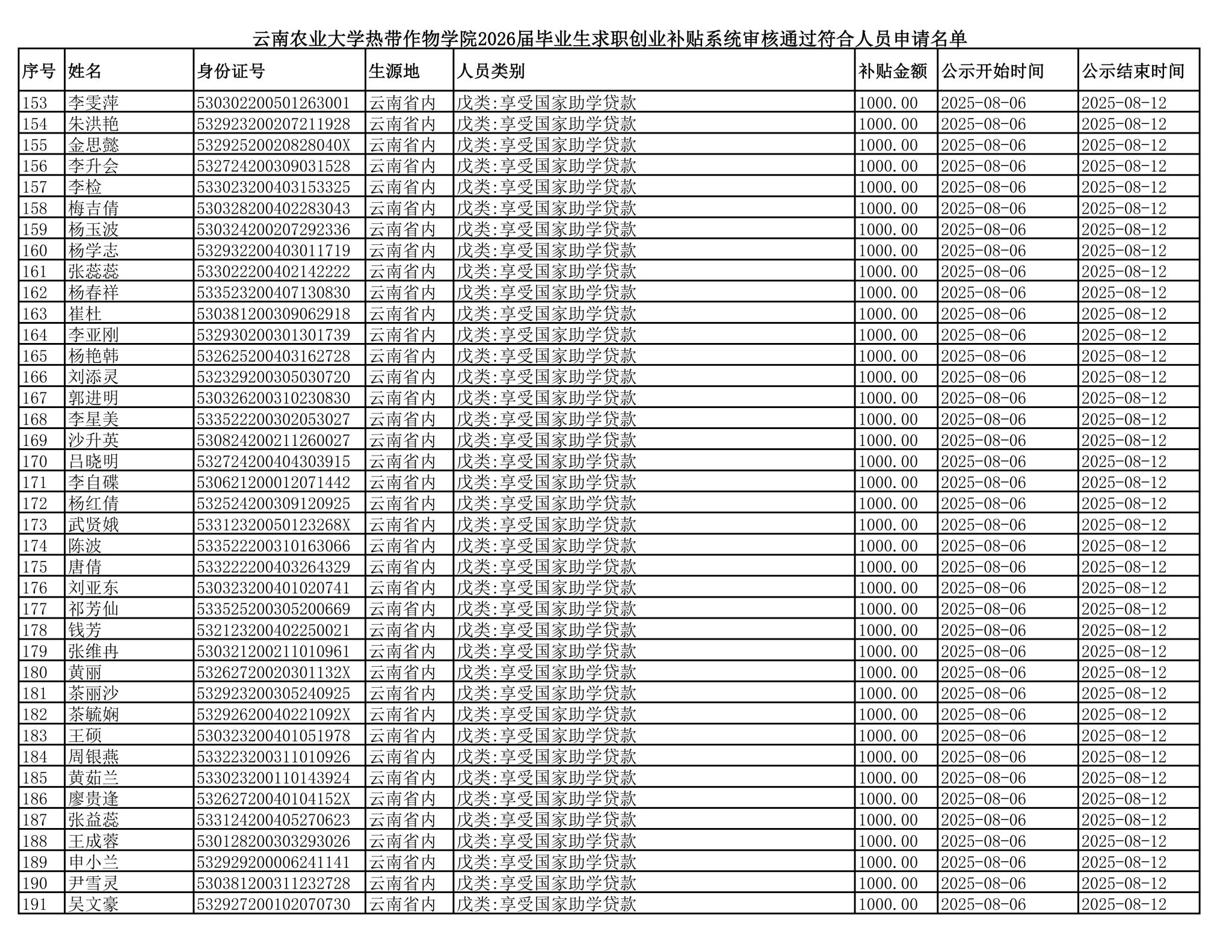
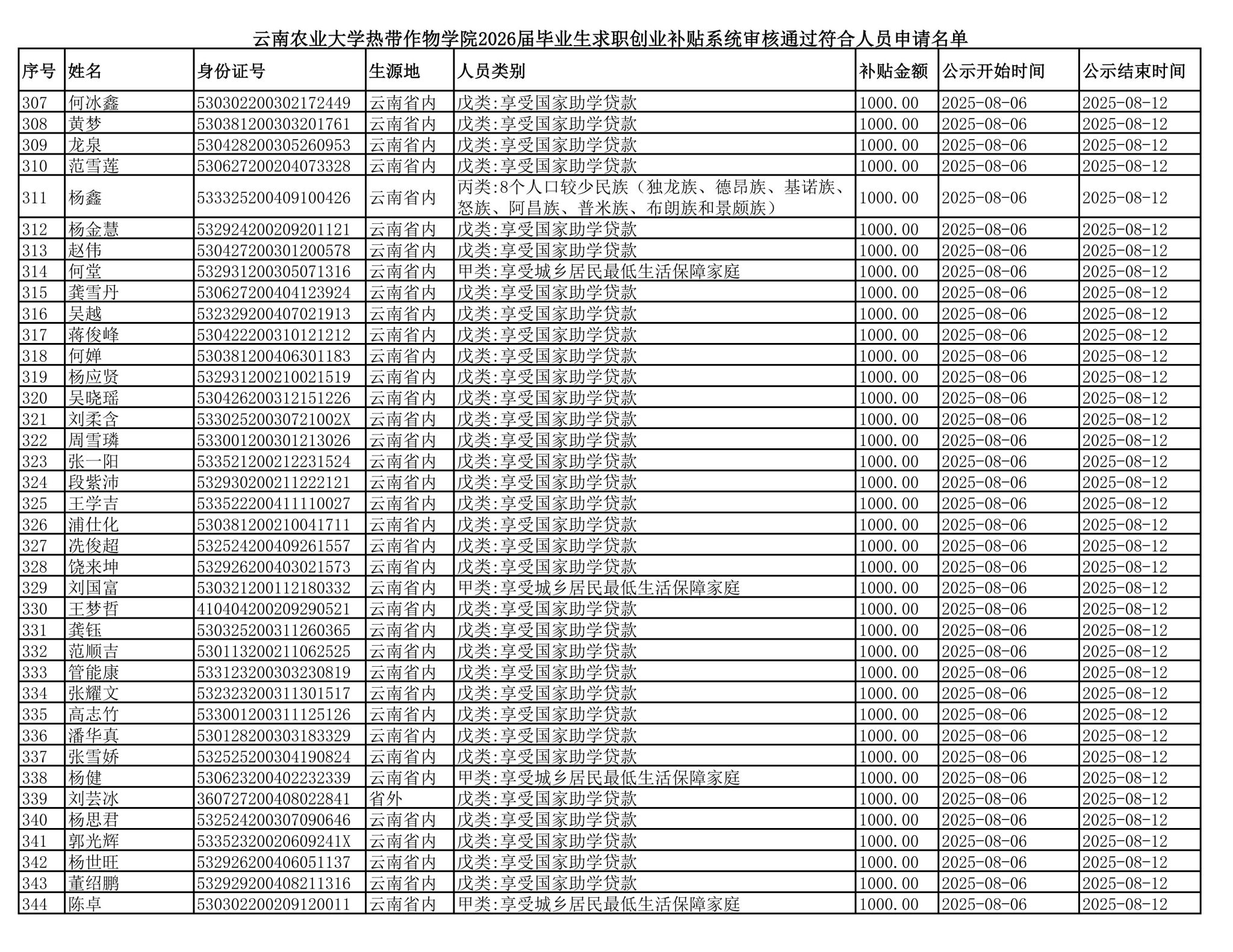
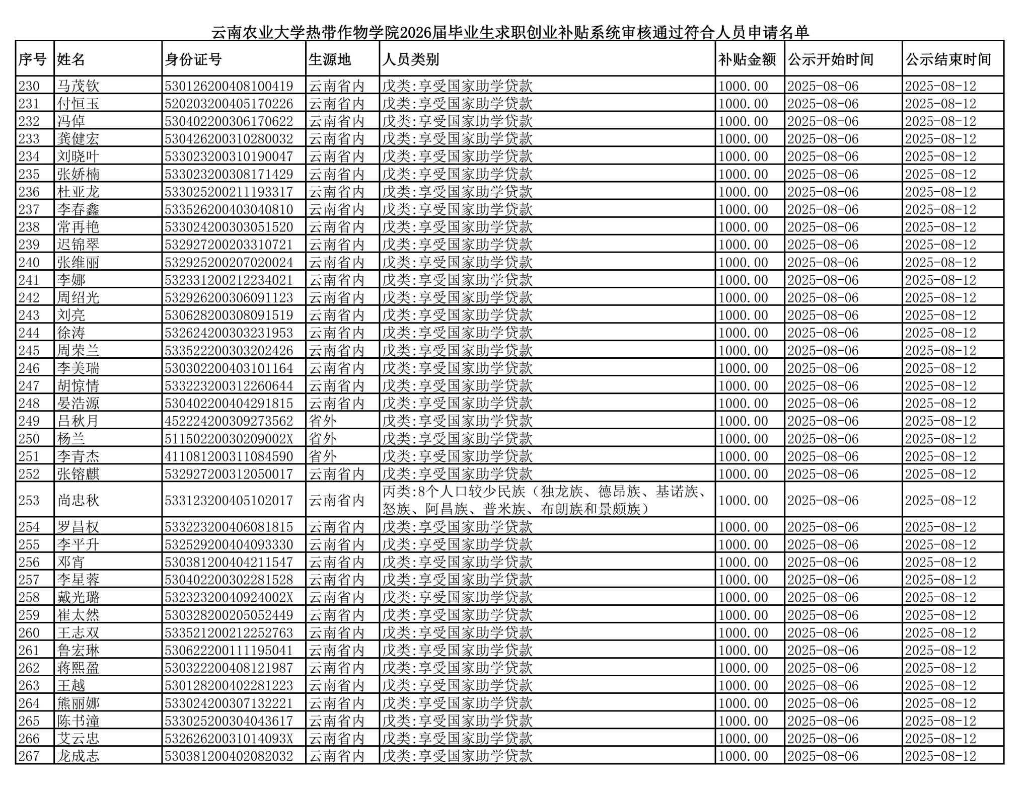
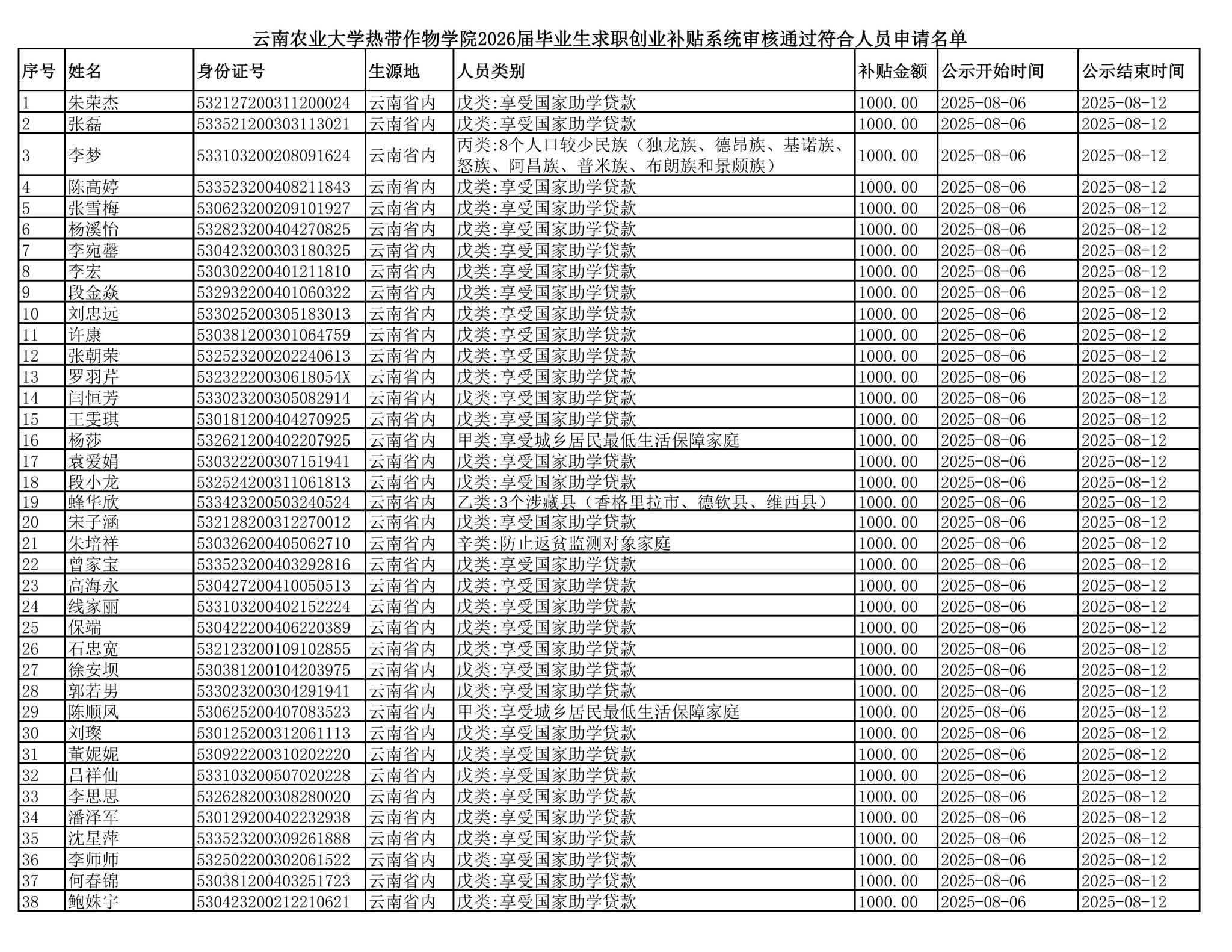
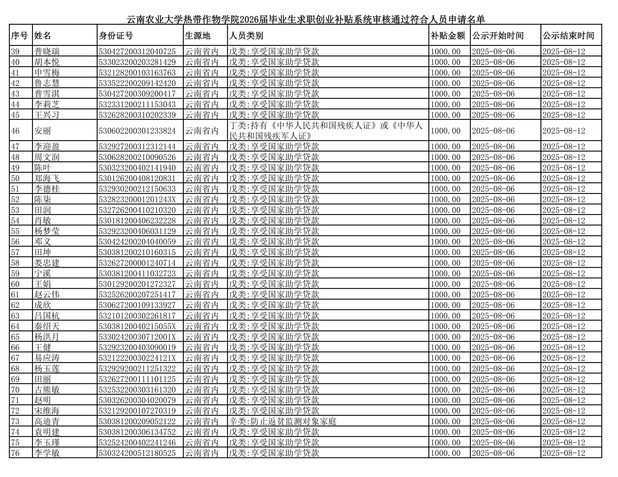
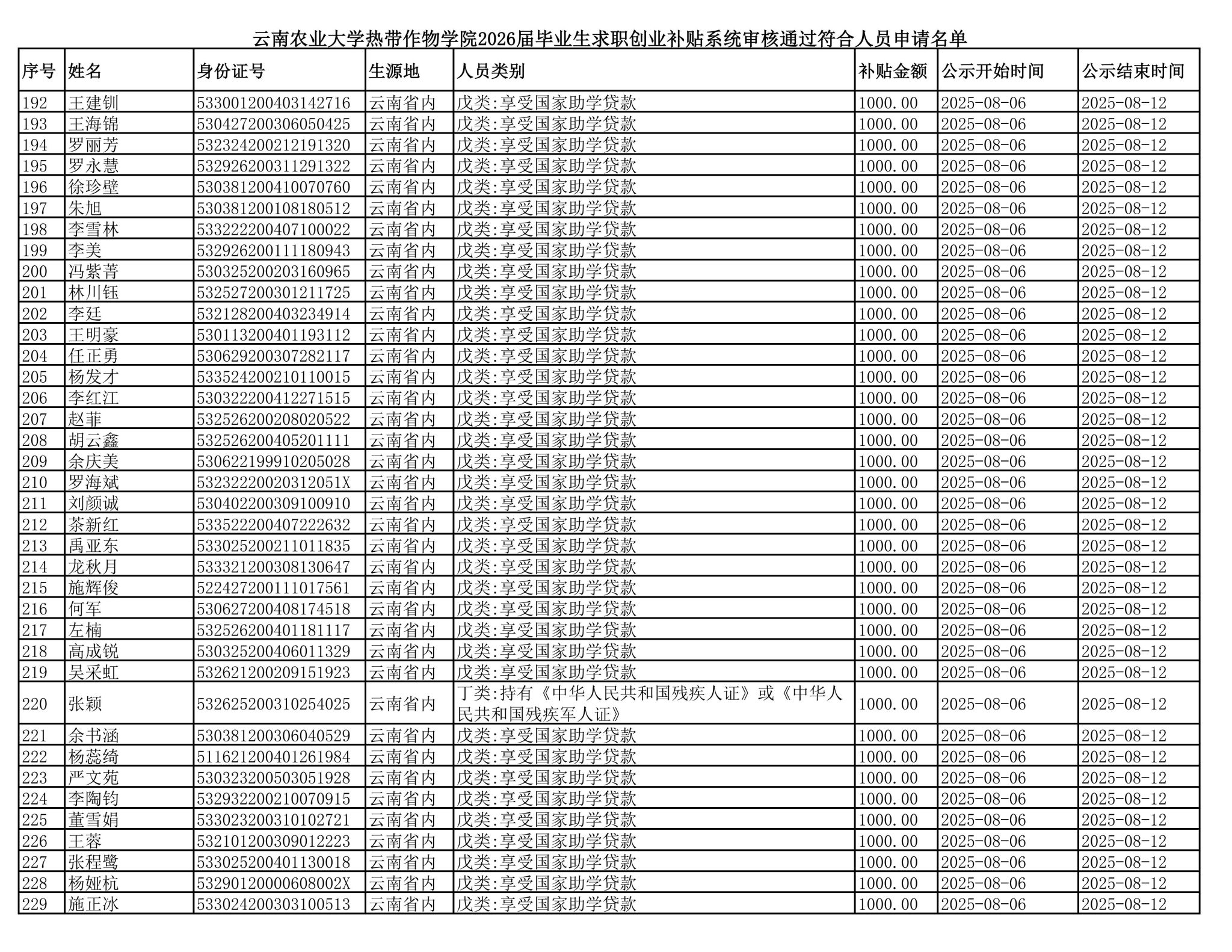
附件:2026世界杯官方合作网站2026届毕业生求职创业补贴系统审核通过符合人员申请名单


上一条:热血赴军营 青春绽芳华——公司举行2025年下半年新兵入伍欢送会 下一条:2026世界杯官方合作网站组织开展2025年春季校园招聘会暨第一届普洱咖啡文化节

关闭

地址:云南省普洱市思茅区倚象镇帝泊洱大道中段29号        邮编:665099    

联系电话:0879-3055977       就业电话:0879-3028687

Copyright 2026年国际足联世界杯(FIFA World Cup 2026)- 官方网站 版权所有. All rights reserved.